尊龙凯时

中文

  • English

  • fran?ais

  • Deutsch

  • русский

  • ???

  • 中文

News and events

超等电容器主要性能指标

2019-11-15

超等电容器主要性能指标包括比电容、能量密度与功率密度、内阻和循环稳固性 。


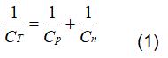
1.比电容

在超等电容器中,每一个电极都是一个电容 。以是,关于超等电容器来说,总电容由正负极两个电容器串联而得 。若是将正极电容用Cp来体现,负极电容用Cn来体现,则总电容为 :

尊龙凯时【官方网站】人生就是搏!


在测试中研究职员更体贴的是超等电容器的比电容,它分为两种,一种为质量比电容,即单位质量的电容值;另一种为体积比电容,即单位体积的电容值 。


2.能量密度与功率密度

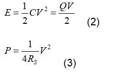
能量密度与功率密度是表征超等电容器性能的主要指标, 能量密度越大, 体现超等电容器能够贮存的电能越多;功率密度越大,体现超等电容器在单位时间能够放出的能量越多,一样平常来讲,理想的超等电容器理论上的最大能量密度 E与功率密度 P可由如下两个公式盘算:

尊龙凯时【官方网站】人生就是搏!

公式中: C 为比电容; V 为电势窗口, 即电解液正极析氧电位与负极析氢电位的差; R s 为电容器等效串联电阻; Q 为电容器存储的总电荷 。从式(3)可以看出, 超等电容器的能量密度与比电容和电势窗口的平方成正比, 比电容的巨细与电极质料有关, 电势窗口则与电解液有关 。超等电容器的能量密度与功率密度都与电势窗口的平方成正比, 以是说, 扩大电势窗口来提升超等电容器性能相比于提高比电容值来说更有用 。


3.内阻

超等电容器的内阻指的是正极电容与负极电容间的串联电阻,它与电极质料、 电解液、隔膜和组装方法等都有很大关系 。一样平常来说, 较小的内阻关于超等电容器性能的提升是有利的 。电极厚度越大,内阻越高,一样平常电极厚度最好小于150μm 。并且质料的孔径不应过小,一样平常在 1.5nm以上,以利便电解液中的离子进入并充分浸润, 形成双电层, 阻止内阻变大 。


电解液的电阻也是影响超等电容器内阻的主要因素,关于水系电解液来说,离子的直径很小,迁徙率高,并且能够容易通过隔膜,也能容易进入电极的孔隙内,以是内阻很小;而关于有机系电解液来说,溶质一样平常为有机高分子,直径都很大,迁徙历程中被阻碍的几率就大得多,并且难以进入电极的孔隙中,内阻相对较大 。


4.循环稳固性

循环稳固性是指超等电容器在多次充放电后坚持电学性能的水平的能力,主要体现在多次充放电后电容值的衰减水平是否过大 。循环稳固性以超等电容器循环充放电数千次后电容值衰减水平标定,以第一次循环所测电容值为初始值,数千次充放电循环后器件的电容值为最终值,初始值与最终值之间每隔数百次纪录一次电容值即可绘制超等电容器电容量随充放电次数转变曲线 。将初始值与最终值举行较量即可获得超等电容器的电容坚持率 。由于电解液对电极质料有一定的侵蚀, 尤其是法拉第赝电容器, 因此超等电容器的电容值保存一定的衰减 。只管云云, 超等电容器的循环寿命仍然遥遥领先于蓄电池, 这也是超等电容器的一大优势 。

留言 接待来到 GTCAP
若是您对尊龙凯时产品感兴趣,想相识更多详情,请在这里留言,我们会尽快回复您 。

首页

产品

关于

联系尊龙凯时

【网站地图】【sitemap】